乐动

乐动-乐动(中国) 乐动-乐动(中国) 政策法规 产业市场 节能技术 能源信息 宏观环境 会议会展 活动图库 资料下载 焦点专题 智囊团 企业库
节能技术  中国节能产业网 >> 节能技术 >> 绿色照明 >> 正文
路灯节电控制器行业标准
来源:中国节能技术协会 时间:2008-3-29 9:40:45 用手机浏览

1 范围
本标准规定了路灯节电控制器的产品分类、要求、试验方法、试验规则和标志、包装、运输、贮存。
本标准适用于额定电压220V和380V 、额定频率50Hz、额定电流10A~800A多种转换型式的路灯节电控制器。
本标准适用于生产企业生产的路灯节电控制器。


2 规范性引用文件
下列文件中的条款通过本标准的引用而成为本标准的条款。凡是注日期的引用文件,其随后所有的修改(不包括勘误的内容)或修订版均不适用于本标准,然而,鼓励根据本标准达成协议的各方研究是否可使用这些文件的最新版本。凡是不注日期的引用文件,其最新版本适用于本标准。
GB 19517—2004  国家电气设备安全技术规范
GB/T 15320—2001  节能产品评价导则
GB/T 191—2000  包装储运图示标志
GB 6388—86  运输包装收发货标志
GB 4208—1993  外壳防护等级(IP代码)
GB/T 2900.1—92  电工术语 基本术语
GB/T 2900.18—1992  电工术语 低压电器 
GB 12325—90  电能质量 供电电压允许偏差
CJJ 45—2006  城市道路照明设计标准
CJJ 89—2001  城市道路照明工程施工及验收规程
GB 9468—88  道路照明灯具光度测试
GB 3096—93  城市区域环境噪声标准
GB/T 14623—93  城市区域环境噪声测量方法
GB/T 1.1—2000  标准化工作导则 第1部分:标准的结构和编写规则
GB/T 1.2—2002  标准化工作导则 第2部分:标准中规范性技术要素内容的确定方法
GB/T 4588.1  无金属化孔单双面印制版分规范
GB/T 4588.2  有金属化孔单双面印制版分规范
GB/T 18858.1—2002  低压开关设备和控制设备 控制器—设备接口(CDI) 第1部分:总则
GB/T 18858.2—2002  低压开关设备和控制设备 控制器—设备接口(CDI)第2部分:执行器传感器接口(AS-i)
GB/T 18858.3—2002  低压开关设备和控制设备 控制器—设备接口(CDI)第3部分:DeviceNet
GB 19212.1—2003  电力变压器、电源装置和类似产品的安全 第1部分:通用要求和试验
GB 19212.13—2005  电力变压器、电源装置和类似产品的安全 第13部分
GB 1094.1—1996  电力变压器 第一部分 总则
GB 1094.2—1996  电力变压器 第二部分 温升
GB 1094.3—2003  电力变压器 第3部分:绝缘水平、绝缘试验和外绝缘空气间隙
GB 1094.5—2003  电力变压器 第5部分:承受短路的能力
GB/T 1094.10—2003  电力变压器 第10部分:声级测定
GB/T 10593.1—2005  电工电子产品环境参数测量方法 第1部分:振动
GB/T 2423.1—2001  电工电子产品环境试验 第2部分:试验方法 试验A:低温
GB/T 2423.2—2001  电工电子产品环境试验 第2部分:试验方法 试验B:高温
GB/T 2423.3—93  电工电子产品基本环境试验规程 试验Ca:恒定湿热试验方法
GB 7251.1—2005  低压成套开关设备和控制设备  第1部分:型式试验和部分型式试验成套设备
GB/T 7251.8—2005  低压成套开关设备和控制设备  智能型成套设备通用技术条件
GB/T 3797—2005  电气控制设备
GB/T 10233—2005  低压成套开关设备和电控设备基本试验方法


3 术语和定义
本标准采用下列定义。
3.1 
路灯节电控制器  the control device of saves the electrical energy for the street light
接在路灯电源侧,通过合理调整路灯的工作电压、电流、功率因数等用电参数,达到节省电能的装置。简称路灯节电器。
3.2 
节电率  Saving the electrical energy efficiency
节电器节约的用电量与负载在未使用节电器时同工况消耗的用电量之比的百分数。


4 产品分类
4.1 产品类型:按额定电压分为单相(AC220V)和三相(AC380V)两大类;按实际的使用电流又分为10A、20A、30A、40A、50A、80A、100A、150A、200A、250A、300A、350A、400A、500A、600A、800A。
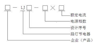
4.2 产品型号含义:
 


示例 :型号为:SN—LJV—1X200,表示SN牌路灯节电器(第五次设计更新),单相设备,额定电流为200A。
4.3 产品基本参数见表1。


5 要求
5.1 使用条件
5.1.1 环境温度: -35℃~+45℃
5.1.2 相对湿度: 不大于95%,最高温度为25℃时,相对湿度短时可高达100%
5.1.3 工作电压范围: AC180~250V/312~433V
5.1.4 电源频率: 50Hz±1Hz
5.1.5 污染等级:3
污染等级3:是指设备所处的环境条件,存在导电性污染,或者由于凝露使干燥的非导电性污染变成导电性的污染。
5.1.6 海拔:安装场地的海拔不得超过1000米
注: 对于在海拔高于1000米处使用的设备,有必要考虑介电强度的降低和空气冷却效果的减弱。打算在这些条件        下使用的设备,建议按照制造商与用户之间的协议进行设计和使用。
5.2 特殊使用条件
如存在下述任何一种特殊条件,必须遵守适用的特殊要求或制造商与用户之间应签订专门的协议。如果存在这类特殊使用条件的话,用户应向制造商提出。
特殊使用条件如下:
5.2.1 温度值、相对湿度或海拔高度与5.1的规定不同。
5.2.2 温度或气压的急剧变化,在设备内可能产生异常凝露。
5.2.3 空气被尘埃、烟雾、腐蚀性颗粒、放射性颗粒、蒸汽或盐雾严重污染。
5.2.4 暴露在强电场或强磁场中。
5.2.5 受霉菌或微生物侵蚀。
5.2.6 安装在火灾或爆炸危险的场地。
5.2.7 遭受强烈振动或冲击。
5.2.8 合适的措施,用来防止EMC电磁兼容性以外的传导和辐射干扰。
5.2.9 其他的特殊使用条件。
5.3 一般要求
5.3.1 外观及标志
5.3.1.1 设备应该有名称及铭牌。
5.3.1.2 设备显眼位置应该有红色闪电标志及“有电危险”字样。
5.3.1.3 设备内部与电网连接的中性线及接地端子应有明显标志。
5.3.1.4 在安装或正在使用期间,打算调节的控制器应有调节方向的标示。
5.3.1.5 在安装或正在使用期间,打算调节的控制器的不同档位及指示灯应有状态标志及数字、字母或其他视觉方式标明。
5.3.1.6 使用说明书应随设备一起提供,以保证设备能安全使用。
5.3.1.7 如果为安装或用户维护保养,必须提出专门的预警告,则应提供预警告的详细内容。
5.3.1.8 接线端子处应有明显标志,且有警告语。
5.3.1.9 产品外观应整洁,表面不应有明显的划伤、裂痕、变形、凹痕、毛刺等缺陷。
5.3.2 设备中的元、器件
设备中所装的元、器件必须符合各个元器件自身的相应标准。
所有元、器件的选用应符合相应产品技术条件的要求,不仅要考虑到正常工作条件下的使用,而且还要考虑到设备在最不利条件下的使用。
5.3.3 印制板
设备中所装的印制板,应符合GB/T 4588.1和GB/T 4588.2的规定。
5.3.4 设备机柜
5.3.4.1 节电器外壳防护等级应符合GB 4208—1993中的IP23~IP25规定。防止直径不小于12.5mm的球型物体进入壳内。一般城市防雨等级IP23, 沿海城市防雨等级相应提升,雨水不能影响内部电器元件。
5.3.4.2 节电器所用的机柜结构应牢固,应能承受运输和正常使用条件下可能遇到的机械、电气、热应力以及潮湿等影响。
5.3.4.3 节电器所用的机柜要求进行防腐处理,考虑设备本身使用寿命与维护成本合理设计防腐技术。
5.3.4.4 节电器所用的机柜要求设置需使用专用工具开启的闭锁防盗装置。
5.3.4.5 节电器的地基固定安装孔的安装尺寸应符合产品制造图样的要求。
5.3.4.6 机柜的门应能在不小于90°的角度内灵活启闭。
5.3.4.7 大型的设备,应在顶部加装吊环或吊钩等,以便吊运。
5.3.5 控制单元
设备中所用的控制单元,应符合GB/T 3797—2005 (附录A)中规定的控制单元试验要求。
5.3.6 操作机构
设备内应有正常的操作机构。必要时,设备内应装设“应急旁路”开关或按钮。开关或按钮应装设在操作者易于发现和操作的位置,开关的操作手柄或按钮必须是红色的,按钮用紧急式。
5.3.7 面板显示功能
正常工作时,显示“电源”灯、“节电”灯亮,“市电”灯不亮。旁路试验时,“节电”灭,“电源”灯亮、“市电”灯亮。
5.4 电气性能
5.4.1 旁路功能
设备要具有旁路功能,在设备内部温度过高、元器件损坏、设定数值达到限值时动作于旁路,此功能可以用智能系统控制,也可以手动直接操作完成。
5.4.2 电压输出整定功能
5.4.2.1 设备输出电压要求能够自动随输入电压的波动平滑的调节为一个恒定的电压值。
5.4.2.2 输出电压要求在不同的时间段自动调整为不同的恒定电压值。
5.4.3 保护功能
5.4.3.1 过载保护,设备在输入电流达到额定值且延时设定时间应能自动旁路和报警,输入电流达到过载设定值且延时设定时间应自动断开输出。
5.4.3.2 欠压保护,设备在输入电压低于设定值后延时到设定时间,应能自动旁路。
5.4.3.3 过电压保护,设备在输入交流电压超过设定值且延时设定时间,设备应能自动断开。
5.4.3.4 防触电保护,应采取保护措施防止意外地触及电压超过50V的带电部件。对于装在设备内的元器件可采取下列措施:
a)  用绝缘材料将带电部件完全包住或遮挡,以便保证即使门打开也不致意外地触及带电部件。
b)  移动、打开、拆卸设备应使用专用钥匙或工具。
c)  在可能产生电击的电容器上应有警示标志。
d)  旋钮和操作手柄等部件最好采用符合设备的最大绝缘电压的绝缘材料来制作或作为护套,或安全可靠地同已连接到保护电路上的部件进行电气连接。
5.4.4 开关灯控制功能
5.4.4.1 设备要求具有开关灯的控制功能,根据设备所处的地理位置和季节变化合理确定开关灯时间,并应根据天空亮度变化进行必要的修正。宜采用光控和时控相结合的控制方式。
5.4.4.2 设备具有遥控系统时,远动终端宜具有在通信中断的情况下自动开关灯的控制功能和手动控制功能。
5.4.4.3 开关灯时的天然光照度水平参照CJJ 45—2006。
5.4.4.4 设备的时控功能具有节假日开关灯时间设置。
5.4.5 补偿功能
设备应具有无功功率自动补偿功能,根据线路的实际参数,设备自动调整功率因数,应达到0.85以上。
5.4.6 过电压能力
在输入交流电压250V(额定电压为220V的产品)或433V(额定电压为380V的产品)时,控制回路10次通断电后,产品能正常工作。
5.4.7 监测数据显示
设备内要有电压、电流、功率、功率因数、有功电度显示,且电压、电流、功率基本误差±0.5%,有功电度数基本误差为±1.0%。
5.4.8 通讯功能
5.4.8.1 设备要求留有通讯的物理接口,宜采用RS485和RS232等数据口,通过接口可以进行数据交换,以便功能扩展。
设备要求留有开关量接口,通过接口可以设置输出分路的灯具控制、报警输出、旁路等功能。
5.4.8.2 设备的通讯系统可以采用总线方式或其他数字通讯方式。采用现场总线(Profibus-DP,DeviceNet,Modbus)时,对其特殊要求见GB/T 7251.8—2005附录。
5.4.8.3 所采取的通讯方式应具备经济性、可靠性和范围覆盖能力,能快速传送准确的数据,宜采用GPRS和CDMA等通讯方式。
5.4.9 节电器遥控功能
节电器遥控系统应符合下列规定:
5.4.9.1 采集模块所采用的元器件应保证其可靠性和精确度,采集到的电参数宜满足系统对电流、电压、功率、电量、亮灯率的需要。还宜采集设备内温度、门状等环境参数。
5.4.9.2 数据应进行处理,通过分析判断,将运行、故障显示或报警。
5.4.9.3 应用模块应功能齐全、实用,并宜具备权限认证,远程控制,设备故障报警,设备和地理信息查询、维护,数据统计、归档、打印等功能。
5.4.9.4 系统误报率应小于1%。
5.5 设备损耗
5.5.1 空载损耗和空载电流
设备空载损耗应≤0.7%,空载电流应≤0.3%。
5.5.2 负载损耗
设备负载损耗应≤2%。
5.6 节电率
节电器额定负载节电率应不小于表2规定值。


5.7 绝缘电阻与介电性能
5.7.1 绝缘电阻
产品的绝缘电阻能符合GB/T 3797—2005第4.8.1项目要求内容的有关规定。
5.7.2 工频耐受电压
产品应耐受电压见GB/T 3797—2005 中第4.8.3内容的要求。
5.7.3 冲击耐受电压
    产品冲击耐受电压见GB/T 3797—2005中第4.8.2内容要求。
5.8 电气间隙和爬电距离
按照GB/T 3797—2005第4.7的有关规定。
5.9 温升
设备内部各部件的温升用电热偶法或其他校验过的等效方法测量,不应超过GB/T 3797—2005中表4的规定。
5.10 EMC试验
5.10.1 试验要求
装有电子元器件的设备受电磁干扰的影响是比较明显的,有必要用试验来加以验证。验证设备性能是否满足要求的判别方法应在有关产品技术文件中予以说明。
注: 对设备选用的组合器件和元件符合相关的产品标准或EMC标准,并且内部安装及接线是按照元器件制造厂的说明书进行的(考虑互相影响、电缆屏蔽和接地等)设备可不作此项试验。
5.10.2 低频干扰
5.10.2.1 电压波动:±10%额定电源电压;短时-15%~+10%额定电源电压。
5.10.2.2 频率波动:±2%额定频率。
在上述干扰条件下,设备应能正常工作。
5.10.3 高频干扰
高频干扰试验要求 GB/T 3797—2005 表8的规定。
5.10.4 发射试验
    设备有可能发射出传导或辐射的无线电频率干扰,产品设计时应考虑对其的限制,以免对电网和环境造成污染而干扰其他设备。设备对电网终端扰动电压的极限值和设备的电磁辐射干扰的极限值见GB/T 3797—2005 中表9和表10。
5.11 设备安装后对外界的影响
5.11.1 对电网不产生谐波污染,且具有抑制作用。
5.11.2 对道路照明的影响,设备在安装后灯具的照度值不能低于CJJ 45—2006的相关参数。
5.11.3 设备安装后,噪音符合标准GB 3096—93,不得大于45dB。


6 试验方法
6.1 测量条件
环境温度: 15℃~25℃
相对温度: 45%~75%
交流电压: 220V±22V/ 380V±38V
电源频率: 50Hz±1Hz
6.2 外观及标志检查
通过目测或手感产品外观应无毛刺,无划伤,喷塑均匀无漏底,标志应具有下述内容:额定电压或额定电压范围、电源性质的符号、额定输入功率或额定电流、制造厂或识别标记、型号及规格、接地装置及标记。
6.3 外壳防护等级试验
按GB 4208—1993中12.1的规定执行。
出厂试验时,可进行直观检查以保证规定的防护等级。
6.4 面板显示功能的试验
将节电器输入端接220V交流电源,合上节电器电源开关,此时,电源灯亮,“节电”灯亮,“市电”不亮,按下“应急旁路”试验按钮,“市电”灯亮,“节电”灯不亮。
6.5 电气性能试验
6.5.1 旁路功能试验
按照5.4.1要求试验。
6.5.2 电压输出整定功能的试验
按照5.4.2要求,输入端接自耦变压器调节电压,设备输出设定为一个数值U,调节输入电压,检测设备的输出电压值应为U±4V。
设定不同的时间段调压功能,符合5.4.2.2要求。
6.5.3 过载试验
将节电器的输出端接上可调负载,负载先置于轻负载,由小到大,缓慢调节可调负载,功能符合5.4.3.1要求。
6.5.4 欠压保护试验
将节电器电源输入端串入自耦变压器,合上电源,调节自耦变压器输出端为额定电压,下调至设定保护值且延时到设定时间,节电器由节能状态退出,旁路接触器吸合。
6.5.5 过压保护试验
将节电器电源输入端串入自耦变压器,合上电源,调节自耦变压器输出端为额定电压,上调至过压保护设定值并达到延时设定值后,节电器由节能状态退出,节电接触器断开。
6.5.6 防触电保护试验
按照5.4.3.4要求试验。
6.5.7 开关灯控制功能的试验
设备设定开关灯时间,功能符合5.4.4要求。
6.5.8 设备自动补偿功能试验
设备输出端接入低于设备额定功率的感性负载,根据实际的功率因数情况,设定功率因数,设备应能够自动补偿到设定的数值。
6.5.9 过电压能力的检测
将节电器电源输入端串入自耦变压器,合上电源,调节自耦变压器输出端为额定电压,在输入交流电压调至250V(额定电压为220V的产品)或433V(额定电压为380V的产品)时,控制回路10次通断电后,产品能正常工作。
6.5.10 监控数据显示的试验
用0.2级的电压表监测电压数值应合格,用0.2级的电流表检测电流数值应合格,用0.2级的有功功率表监测功率数值应合格,用有功监测仪检测有功电量应合格。
6.5.11 通讯功能试验
根据5.4.8要求,检测设备通讯接口是否数据交换正常。
6.5.12 节电器遥控功能试验
节电器遥控功能应满足5.4.9要求。
6.6 设备损耗试验
6.6.1 空载损耗和空载电流测量
电压调节档次置于7%或相近档次,输入三相额定频率下的额定电压,测量空载损耗和空载电流。
6.6.2 负载损耗测量
电压调节档次置于7%或相近档次,输出端短接,输入端输入三相额定频率的电压,调节输入电压使输出端短路电流达到额定电流,测量有功功率即为负载损耗。
6.7 节电率试验
节电器输出端接入额定功率的负载,负载功率因数COSΦ>0.99,如果条件限制可减低负载,但不能小于额定负载的20%。输入电压在额定范围内,将节电器置于不同的电压调节档次,测试仪表接于节电器输入端,测量用电量(测试时间可设为0.5小时),同样负载,相同的输入电压,不接入节电器测量用电量(测试时间与接入节电器时间相同),节电器节电率按下式计算:


其中:r—节电率%
W0—无节电器用电量,单位为千瓦小时(kW•h)
W1—有节电器用电量,单位为千瓦小时(kW•h)
6.8 绝缘电阻测定
产品的绝缘电阻能符合GB/T 3797—2005第5.2.4项目要求内容的有关规定。用500V或以上的兆欧表测量。测得的绝缘电阻按标称电压至少为1000Ω/V。试验时,对于不能承受所规定的兆欧表电压的元件(如半导体元件、电容器等),试验时应将其短接。
6.9 介电性能试验
6.9.1 工频耐受电压的试验
按照GB/T 3797—2005第5.2.5.2的有关规定,试验中无击穿或闪络现象。
6.9.2 冲击耐受电压试验
设备冲击耐受电压试验按照GB/T 3797—2005中5.2.5.1要求试验。
试验过程中,不应有破坏性放电现象。
6.10 电气间隙和爬电距离检查
设备的电气间隙和爬电距离检查按照GB/T 3797—2005中5.2.2要求试验。
出厂试验时,可进行直观检查以保证规定的电气间隙和爬电距离。
6.11 温升试验
温升试验符合GB/T 3797—2005 中5.2.10规定。
6.12 气候环境试验
6.12.1 环境温度试验
环境温度试验的目的是考核设备在表3规定的环境温度限值条件下设备运行的可靠性。

设备在额定负载条件下,模拟正常工作状态分别在规定的最高和最低试验环境温度下,保持规定的试验连续时间,设备应能正常、可靠工作。试后,对其进行直观检查,应注意是否有元件过热、紧固件松动及绝缘损坏的迹象。
6.12.2 湿热试验
要验证设备的耐潮湿能力,应按表4进行湿热试验。


对设备进行直观检查,应注意是否有元件过热、紧固件松动、绝缘损坏的迹象并使设备恢复1h~2h后,按照6.8和6.9.1要求进行绝缘电阻和工频耐受电压试验,实验电压为规定值的85%。
6.13 EMC试验
EMC试验的目的是考核设备对特定的外加干扰条件的耐受能力。在存在电磁干扰的情况下,设备应仍能进行工作而不降低其性能。试验方法按照GB/T 3797—2005 中5.2.12规定。
6.14 对外界影响的试验
6.14.1 路灯光度的检测
设备在节电和市电状态对路灯光度的测试应在状态转换完15min后,按照GB 9468—88的测试方法进行,达到CJJ 45—2006的数值要求。
6.14.2 设备噪音的检验
设备噪音检验按照GB/T 14623—93标准检测。
6.15 振动试验
振动试验按照GB/T 3797—2005中5.2.13的规定试验进行。
6.16 跌落试验
包装件一端支起100mm~150mm,提起另一端自由下落于平整的地面或钢板上,根据设备的特点和储运情况,选择不同的跌落高度(一般不小于300mm),每端跌落两次,设备应无明显破损与变形。
6.17 保护电路有效性试验
应检查设备的不同裸露到电部件以及这些部件和保护电路之间的电连续性,保护导体端子和设备相应裸露到电部件之间的电阻不应超过0.1Ω。
应使用电阻测量仪器进行验证,通过电阻测量点之间的试验电流至少为10A,交流或直流电流均可。
出厂试验时,可利用直观检查来验证保护电路的电连续性,尤其应检查螺钉连接是否接触良好,可能的话可抽样试验。
6.18 通电操作试验
通电操作试验的目的在于检验设备的接线是否正确以及设备的工作特性是否达到规定的要求。
试验时,设备应先在额定电源电压下运行,然后将电源电压在规定的变化范围内连续调节,设备在额定负载和过载条件下检验其工作特性及操作应符合产品技术条件的规定。对出厂试验,设备只在额定电源电压下运行即可。
6.19 连续运行试验
连续运行试验是使设备在规定的电源条件下,尽可能按照实际工作的程序不间断地连续运行。在整个连续运行过程中,其各种动作、功能及程序应正确无误。
试验时,应使设备在规定的最高工作环境温度下进行。连续运行试验的最短时间,应在有关技术要求中说明,但不得少于24h。


7 试验规则
节电器的试验分型式试验和出厂试验。对某些试验项目(如大功率的通电操作试验及电器性能指标试验等)可以根据协议在设备的运行现场进行。
7.1 型式试验
7.1.1 型式试验是用来验证给定型式的设备是否符合本标准中规定的技术要求。
型式试验可以在一台(组)产品的样机上进行,也可以在相同设计而制造的同一批产品中的多台产品上分别进行。对某些型式试验项目,也可以在相同设计而制造的关键部件上进行。如为系列设计产品,可选取若干种典型品种、规格进行型式试验。
在下列情况下应进行型式试验:
a)  已定型的的产品当设计、工艺或关键材料更改有可能影响到产品性能时;
b)  新产品试制定型时;
c)  制造厂或用户认为有必要进行时(本项主要是指已定型的产品,而使用现场对工作性能有更严格的要求时,可以根据协议对该批产品进行全部项目或部分项目的型式试验)。
型式试验有一项不合格时,应经返修后再对该项目进行复试。若复试仍不合格,则该产品为不合格品。
7.1.2  型式试验项目包括:
a)  外观及标志检查(见6.2)
b)  外壳防护等级试验(见6.3)
c)  面板显示功能的试验(见6.4)
d)  电气性能试验(见6.5)
e)  设备损耗试验(见6.6)
f)  节电率试验(见6.7)
g)  绝缘电阻测定(见6.8)
h)  介电性能试验(见6.9)
i)  电气间隙与爬电距离检查(见6.10)
j)  温升试验(见6.11)
k)  气候环境试验(见6.12)
l)  EMC试验(见6.13)
m)  对外界影响试验(见6.14)
n)  振动试验(见6.15)
o)  跌落试验(见6.16)
p)  保护电路有效性试验(见6.17 )
q)  通电操作试验(见6.18)
r)  连续运行试验(见6.19)
7.2 出厂试验
每台设备出厂前必须进行出厂试验,全部出厂试验项目检查合格后应挂合格证。
出厂试验中,如有不符合本标准的地方,则该产品为不合格品。须返修并经再次试验合格后,方可发放合格证。
出厂试验项目包括:
a)  外观及标志检查(见6.2)
b)  外壳防护等级试验(见6.3)
c)  面板显示功能的试验(见6.4)
d)  电气性能试验(见6.5)
e)  绝缘电阻测定(见6.8)
f)  介电性能试验(见6.9)
g)  电气间隙与爬电距离检查(见6.10)
h)  保护电路有效性试验(见6.17 )
i)  通电操作试验(见6.18)) 


8 标志、包装、运输、贮存
8.1 铭牌和技术数据牌
8.1.1 铭牌
每台设备应有一个铭牌,铭牌上应标明下列内容:
a)  产品名称;
b)  产品型号;
c)  额定输入电压、额定输入电流;
d)  出厂序号;
e)  重量;
f)  必要的其他参数;
g)  制造厂名称;
h)  制造年月;
8.1.2 技术数据牌
除铭牌上标明的数据外,如果有必要,其他有关技术数据可以在技术数据牌上标明。技术数据牌可以是每一项工程的一套设备合用一个技术数据牌。
8.2 随同产品提供的技术文件
设备出厂时,应随产品提供下述文件和资料:
a)  产品合格证;
b)  使用维护必要的电气原理图、装配图、说明书;
c)  接线图、接线表;
d)  电气设备清单;
e)  备用件一览表。
8.3 外包装储运图示标志
包装储运图示标志应符合GB/T 191—2000规定,运输包装收发货标志应符合GB 6388—86规定。
8.4 运输
包装好的产品,可用正常的海、陆、空交通运输,产品的运输过程中,应轻装卸,防止重压撞击,须避免日晒雨雪直接淋袭,并不得与酸碱有机溶剂及有害气体接触。
8.5 贮存
包装好的产品可贮存在温度为-10℃~40℃,相对温度小于85%的库房中,库房中无急剧温度变化,周围空气应无酸、碱及其它有害气体,贮存期为18月,超过18个月的产品应经开箱检查复检合格后才可进入流通领域。


9 使用说明书的编写
产品使用说明书应能指导用户正确使用和和维护。

 


分享到:
乐动相关的文章 iTAG:
LED、无极灯、氙气灯、高压钠灯路灯实测
几种路灯照明节能改造技术应用对比分析
智能照明调控装置在高速公路上的应用
频道推荐
服务中心
微信公众号

CESI
关于本站
版权声明
广告投放
网站帮助
联系我们
网站服务
会员服务
最新项目
资金服务
园区招商
展会合作
中国乐动-乐动(中国) 上线下相结合的一站式节能服务平台。
©2007-2016 pitangorings.com
鄂ICP备16002099号
节能QQ群:39847109
顶部微信二维码底部
扫描二维码关注官方公众微信